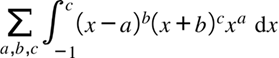
The parameters \(a, b\) and \(c\) each take the value \(0\) or \(1\).
There are eight such triples to consider.
Find (to 3 d.p.) the value of the expression 
Please login to submit answer.
The parameters \(a, b\) and \(c\) each take the value \(0\) or \(1\).
There are eight such triples to consider.
Find (to 3 d.p.) the value of the expression 
Please login to submit answer.